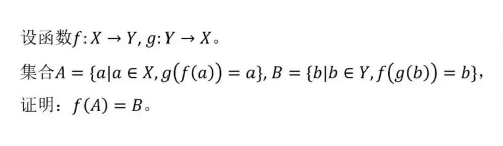
设 f 是从集合 A 到 B 的关系,如果对每个 x∈A 都存在唯一的 y∈B 使得 ⟨x,y⟩∈f,则称关系 f 为从 A 到 B 的函数或映射 即每个元素都有唯一的像 f:A→B A 为函数的 定义域 domf=A f(A) 为函数的 值域 ranf B 是 上域 ⟨x,y⟩∈f⟺y=f(x) ⟨x,y⟩∈f∧⟨x,z⟩∈f⟹y=z ∣f∣=∣A∣ f(x) 代表一个变值,f 代表一个集合,两个不相等 从 A 到 B 的不同的函数有 ∣B∣∣A∣ 个,对定义域内的所有元素有 B 种选择 函数中序偶的第一个元素一定是不相同的 每个函数的基数都和定义域相同 函数的类型 函数的运算 例题