🪴 Cyril

Home

❯

01 数学

❯

线性代数

❯

07 二次型与二次曲面

❯

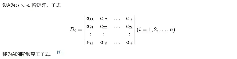
顺序主子式

顺序主子式


关系图谱

最近笔记

  • 信源熵

    2025年6月04日

    • 学习方法论

      2025年6月04日

      反向链接

      • 正定矩阵
      • 负定矩阵

      Created with Quartz v4.5.1 © 2025

      • GitHub
      • Friends
      • BiliBili