现在用一组同心圆和从极点出发的一族射线来分割
所以直角坐标系转换成极坐标系:
这里的多出来的 r 是转换让计算变简单的关键操作
二重积分转换成二次积分的操作和直角坐标系相同,都是一个固定区间,另一个取作函数
天然的 r 是大于 0 的,一般是先对 r 积分
Tips
因为 本来就是大于 0 的,所以看象限这个位置有没有这个区域就可以确认 的范围
二重积分转化为二次积分
极点在积分区域 D 的外部:作两个切线,转化为 区域
极点在积分区域的内部的时候, 取 ,r 下限是 0
极点在积分区域的边界的时候,取切线,和上面差不多
相当于向极点作投影,方程对 没有限制的时候,相当于取原始最大值
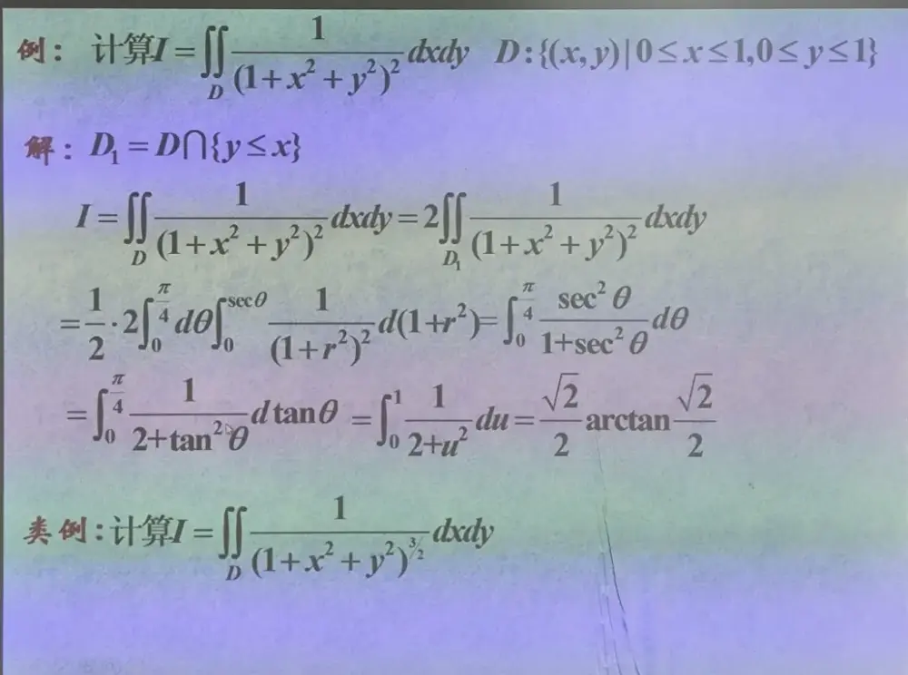
例:
化成二重积分正方形面积开平方,用夹逼定理用两个圆夹住
Tip
启发:对于极坐标系下的圆环积分,可以表示成两个独立的定积分形式
例:
维维安尼体积分:
转换成第一卦限的四倍
用 wallis公式 可以得到结果
