从 四种常用统计分布 定义出发记忆


第一大抽样分布定理
X 为正态总体的样本,对其有:
第一结论
样本均值 和 样本方差 相互独立
第二结论
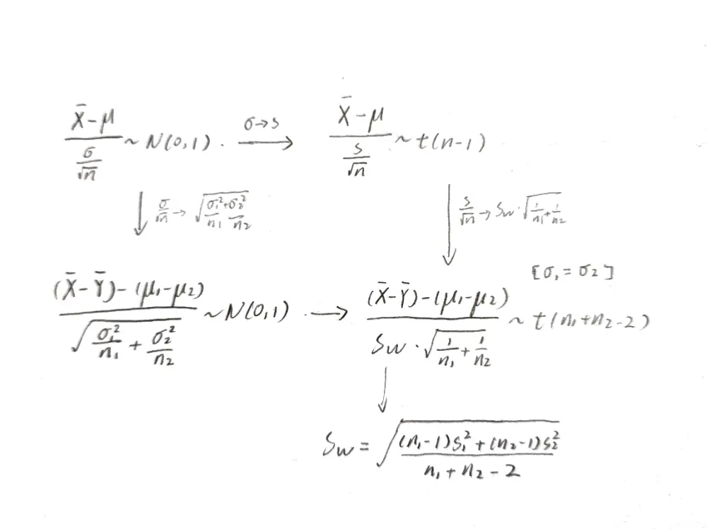
σ/nXˉ−μ∼N(0,1)
第三结论
卡方分布
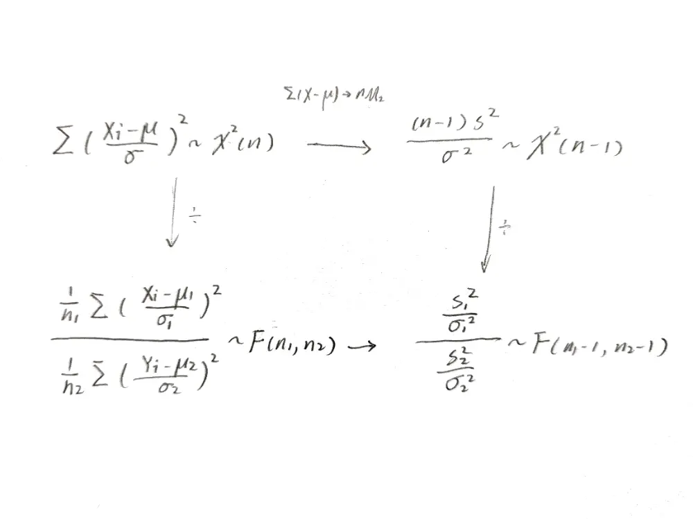
σ2(n−1)s2=σ2nM2∼χ2(n−1)
自由度变小了,因为能够通过其中的 Xˉ 推出其他一个作为限制
根据上面的定理,推出
第四结论
t 分布
s/nXˉ−μ∼t(n−1)
补充结论一
i=1∑n(σXi−μ)2∼χ2(n)
这个利用 μ 更加充分
第二大抽样分布定理
正态总体 XY 相互独立:
第一结论 2
s22/σ22s12/σ12=F(n1−1,n2−1)
F 分布
第二结论 2
(方差相等情况)
Swn1−1+n2−1(Xˉ−Yˉ)−(μ1−μ2)∼t(n1+n2−2)
Sw=n1+n2−2(n1−1)S12+(n2−1)S22
方差知道比例的情况也可以通过补充结论三得到分子正态、第三结论两个卡方相加得到分母卡方,通过 t 分布定义构造
补充结论二
n11∑(σ1Xi−μ1)2/n21∑(σ2Yi−μ2)2∼F(n1,n2)
补充结论三
n1σ12+n2σ22Xˉ−Yˉ−(μ1−μ2)∼N(0,1)