名词解释:
- 对阶、左规、右规、浮点数规格化、行波进位加法器
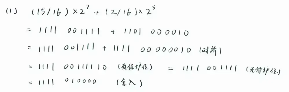
- 对阶:在浮点数运算中,为了进行加法或减法,将两个操作数的指数调整到相同的值,从而可以直接对尾数进行运算的过程。小阶对大阶。
- 左规:数值位逐次向左移,阶码逐次减 1,直到将第一位 1 移到小数点左边。用来规格化
- 右规:在对阶的时候,舍弃低位。但是在运算的时候仍会保留,最后再将运算结果舍入保存为 IEEE754 格式
- 浮点数规格化:确保尾数的首位是非零的,规定最高位是 1
- Q 乘商寄存器、状态标志寄存器
- Q 乘商寄存器:用于存储乘法和除法运算的中间过程和结果
- 状态标识寄存器:用于存储 CPU 在执行指令后的状态信息,包括零标志、进位标志、溢出标志等,用于影响后续指令的执行和条件判断
- 布思算法、保护位
- 布思算法:补码相乘算法,可以将符号位和数值位合在一起运算,直接得出用补码表示的乘积
- 保护位:用来防止溢出的多设置的位
- 状态标志寄存器/通用寄存器组
- 通用寄存器组是 CPU 中的一组寄存器,供程序存取和计算使用。状态标志寄存器则专门用来反映运算的状态,通用寄存器组则用于存储中间计算结果和变量。

(1-4)

(5)


- 尾数为 的时候要进行右规。尾数右移一位,阶码加一,最后一位移出的时候要考虑舍入
- 尾数为 的时候要左规。数值位左移一位,阶码减一,直到将第一位 1 移到小数点左边







