
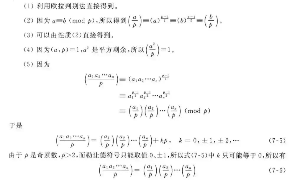
由 欧拉判别法 可以知道有
(pa)≡a(p−1)/2(modp)
(p1)=1
(p−1)=(−1)(p−1)/2
如果 a≡b(modp),则有
(pa)=(pb)
(pa+p)=(pa)
如果 (a,p)=1
(pa2)=1
(pa1a2…an)=(pa1)(pa2)…(pan)

(p2)=(−1)(p2−1)/8={1−1p≡±1(mod8)p≡±3(mod8)
二次互反律
如果 p,q 都是奇素数,(p,q)=1
(pq)=(−1)(p−1)(q−1)/4(qp)
