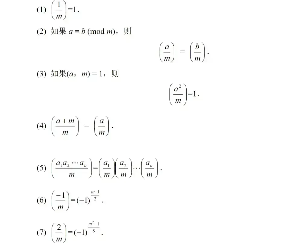
m 是任意奇数,定义雅可比符号:
p 为 m 的素数分解(可能有重复),根据 勒让德符号 定义,同样有基本相同的性质


像二项展开一样讨论每一项的输出情况 00000 的时候为 1,10000、01000 等的时候保留结果,其它时候一定是 2 的倍数


将平方剩余的概念扩展,p 改为 m(任意奇数)
可以判定一定不是平方剩余
不一定是平方剩余,可能有解可能无解
m 是任意奇数,定义雅可比符号:
p 为 m 的素数分解(可能有重复),根据 勒让德符号 定义,同样有基本相同的性质


像二项展开一样讨论每一项的输出情况 00000 的时候为 1,10000、01000 等的时候保留结果,其它时候一定是 2 的倍数


将平方剩余的概念扩展,p 改为 m(任意奇数)
可以判定一定不是平方剩余
不一定是平方剩余,可能有解可能无解